在混沌纷繁的尘世中寻找真正想要的是什么
洛必达法则求极限的变形题

洛必达法则求极限的变形题

分析:

洛必达法则可以用来直接求$\frac{0}{0}$和$\frac{\infty}{\infty}$两种未定式的极限,但除此之外还有$0*\infty$、$\infty -\infty$、$1^{\infty}$、$\infty ^{0}$、$0^{0}$五种未定式,都可以转化为$\frac{0}{0}$和$\frac{\infty}{\infty}$形式,进而用洛必达求解

总结:$0*\infty$ 是基础情况,用无穷大和无穷小的性质解决;$\infty -\infty$ 需要通分;另一大类是带幂的,$\infty ^{0}$、$0^{0}$ 一定是幂指函数,遇到幂指函数使用对数恒等式即可;$1^{\infty}$ 不是幂指函数,是一种需要单独记住形式的情况,但也是对数恒等式处理。


$0*\infty$:

首先无穷乘以0以及0乘以无穷,都是一回事。

$0*\infty$ 看起来不能直接使用洛必达法则,其实它和 $\frac{0}{0}$、$\frac{\infty}{\infty}$ 是等价的。

具体而言,就是利用无穷小和无穷大的性质中,“无穷小的倒数是无穷大”、“无穷大的倒数是无穷小”,把乘以无穷小变成除以无穷大,或把乘以无穷大变成除以无穷小,即可把 $0*\infty$ 转换成 $\frac{0}{0}$ 和 $\frac{\infty}{\infty}$ 。


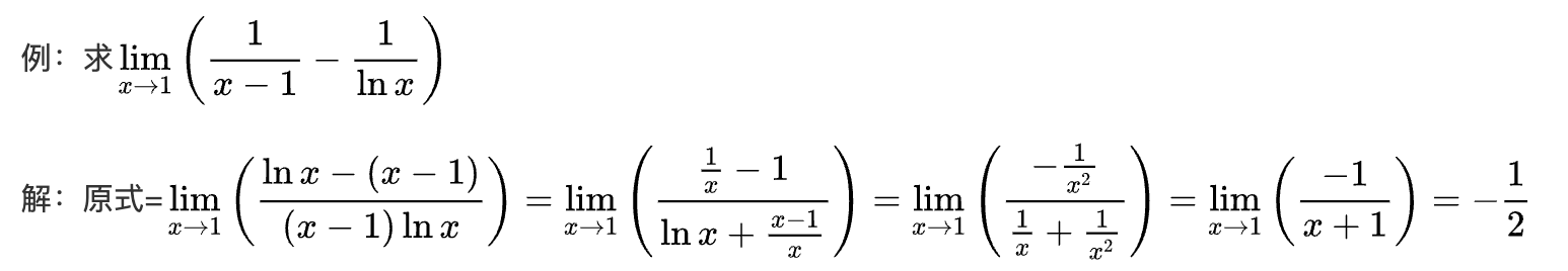
$\infty -\infty$:

无穷大减无穷大其实两个无穷大必为分数形式,即必为两个无穷小的倒数相减,只要把两个无穷大的多项式通过通分合并为一个就可以变成可以直接使用洛必达法则的形式。


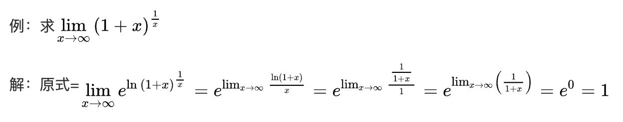
$1^{\infty}$:

对$1^{\infty}$这种带幂的,只需使用对数恒等式$x=e^{ln(x)}$,就能把$\infty$从幂位置放下来。原式化为 $e^{0* \infty}$ 的形式,然后类似 $0* \infty$ 型处理即可


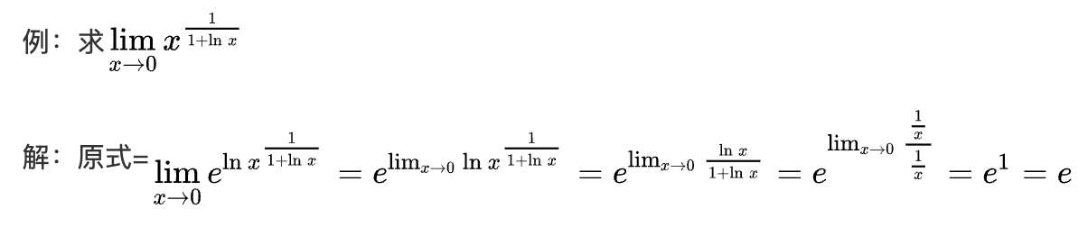
$\infty ^{0}$:

同$1^{\infty}$型,这种带幂的只需使用对数恒等式$x=e^{ln(x)}$,就能把幂上的$0$放下来,原式化为$e^{0* \infty}$的形式,也是类似$0* \infty$型处理即可


$0^{0}$:

同$1^{\infty}$型,这种带幂的只需使用对数恒等式$x=e^{ln(x)}$,就能把幂上的$0$放下来,原式化为$e^{0* \infty}$的形式,也是类似$0* \infty$型处理即可

判断间断点的类型
Git教程
© 2024 Dal
「 就在那个时刻,你记得这并非幻觉,的确就在那个时刻,那只手和那块石头的接触面,她突然回过头冲你说:我也爱着你。 」